草酸添加剂对铝在硫酸溶液中的阳极氧化过程的影响
草酸添加剂对铝在硫酸溶液中的
阳极氧化过程的影响
曹楚南,朴根培,官素珍
添加草酸的硫酸溶液目前已经成为一类重要的铝的阳极氧化槽液。Mason会研究了在硫酸中添加草酸对于降低膜的溶解速度和提高膜比值的效应。随着以草酸为添加剂的槽液的应用日益广泛以及加有各种有机酸添加剂的专利日益增多,愈来愈需要对于草酸添加剂的作用进行全面的了解,以便进而提出可凭之鉴别各种专利真伪和指导今后寻找有机酸添加剂工作的理论基础。Mason的工作还不足以适应这样的需要。因为从Mason的工作中还不能看清草酸添加剂究竟是主要影响了溶液的溶解活性还是膜的组成,也无法推测草酸添加剂起作用的原因。本文报告我们利用各种方法对草酸添加剂进行研究的结果,以及我们由此得出的关于草酸添加剂作用原因的见解。
实 验
阳极氧化在普通的玻璃器皿中进行。除测定膜的孔率和密度的部份在氧化时是以马达搅拌外,其余的氧化实验都以电动磁搅拌子搅拌。温度变动范围为±0.5°C。电流由电子管恒电流装置供应(孔率和密度的测定部份由高压硒整流器供应)。除特别说明者外,每一实验值由4个平行试验结果平均。实验主要分成以下四个部份:
(一)膜在不通电时的溶解试验
进行了下列5种溶解试验:
(i)在2M硫酸槽液(A)中阳极氧化的样品,浸在2M硫酸溶液( A')中溶解(效应AA');
(ii)在2M硫酸+0.2M草酸槽液(B)中阳极氧化的样品,浸在2M硫酸溶液(A')中溶解(效应BA´);
(iii)在2M硫酸槽液(A)中阳极氧化的样品,浸在2M硫酸+0.2M草酸溶液(B')中溶解(效应AB´)。
由以上3项试验可以确定:
→草酸添加剂对硫酸的溶解活性的影响;
![]()
![]()
![]()
→草酸添加剂对膜的比面积(也即微孔组成)的影响。
同时,为了比较起见,还进行了以下2项试验:
(iv)在1MH2SO4槽液(Ai)中阳极氧化的样品,浸在1MH2SO4溶液(Ai´)中溶解(效应AiAi´);
(v)在1MH2SO4槽液(Ai)中阳极氧化的样品,浸在1MH2SO4 +0.2M草酸溶液(B´)中溶解(效应AiBi´)。
实验条件是:阳极氧化—20°C,1安/分米2,70分钟;溶解试验—20°C,1小时,结果列于表1。表中每一数值由6个平行试验数据平均。实验的重现性很好。

结果表明,添加草酸对于硫酸溶液对膜的溶解活性有很大的影响(
=51.9%,(
=54.5%);在氧化槽液中添加草酸对于膜的微孔组成也有显著的影响,但远较对溶液的溶解活性的影响小(
=77.1%)。然而,硫酸的波度从1M变为2M,影响却很小。
(二)膜的成长速度的研究
为了比较草酸添加剂对于膜在成长过程中的溶解速度的影响,测定了膜的增重与氧化时间之间的关系。20°C,0.75安/分米2时,在1MH2SO4槽液和2MH2SO4 +0.2MH2C2O4槽液中的膜增重动力学曲线示于图1.按另一篇文章求出了各温度下膜在成长过程中的化学溶解速度常数k值,图2为logk-
曲线。在加有草酸的槽液中,10°C时膜增厚很快,样品散热不良,没有测出k值。我们的实验是以磁搅拌子撬动的,所以测得的k值比另一篇文章中根据陈俊明等不搅拌的实验求得的k值低,在20°C时添加草酸后的k值(0.47 X10-4)仅为不添加时的(1.31x10-4) 36%,据图2确定,在加有草酸的槽液中膜的溶解活化能为1.2×104卡/克分子,在不加草酸的槽液中为1.3×104卡/克分子。在目前实验精度下,两者无显著差别。

(三)无孔层转变为有孔层的研究
铝样品先在pH=5.5的3%酒石酸铵溶液中以10伏的恒电压进行阳极处理。此时在样品上生成厚度约为140A的无孔膜。将样品清洗后,再在添加和不添加草酸的硫酸溶液中以15伏的恒电压进行阳极处理,并以记录器记录电流-时间曲线。曲线的一艘形状如图3所示。随着无孔膜转变为有孔膜,电流逐渐增大,最后趋于平稳。从曲线上测定电流开始平稳的时间t1。这一时间就是从无孔层转变为有孔层所需要的时间。实验温度为20°C,结果列在表2。每一数值由10个平行试验结果平均。

(四)膜的孔率与密度的研究
利用在我们的另一篇文章中描述的方法,研究了草酸添加剂对于膜的其实密度与孔率的影响。图4是在10°C,以1安/分米2在2MH2SO4槽液中和2MH2SO4+0.2MH2C2O4及2MH2SO4+0.3MH2C2O4槽液中氧化时,膜的真实密度与氧化时间的关系。而图5和图6则为分别在2MH2SO4和1MH2SO4溶液中添加不同浓度草酸对于膜真实密度和孔率的影响。相应于图5和图6的电解条件为10°C,1安/分米2,20分钟。


讨 论
从上述四个方面的实验可以综合出下列结果:
1.从不通电的溶解试验看来,草酸添加剂的效应主要在于降低溶液对膜的溶解活性。对膜的微孔组成也有影响。如果在2MH2SO4槽液中添加0.2MH2C2C4后,膜的比面职缩小为未添加草酸时相应条件下的77.1%(
),而槽液本身又因添加草酸后溶解活性降低为未添加时的51.9%(
),则根据不通电时的溶解试验可以推测,在膜的成长过程中,添加草酸后膜的溶解速度应同时因膜的比面积的减小和电解液溶解活性的减小而降为未添加草酸时的77.1%×51.9% =40%。动力学曲线表明,添加草酸后膜在成长过程中的化学溶解速度K降,为未加草酸时的36%,两者颇相符合。因此,看来电场对于草酸添加剂的效应并无作用。
2.硫酸浓度的改变对于有孔膜溶解速度的影响,比起草酸添加剂的效应,小到可以忽略。但在无孔膜与具有溶解性的电解液接触后转变为有孔膜的数十秒的过程中,虽然草酸添加剂有着明显的效应,但远不如硫酸浓度从2M降低为1M时所产生的效应大(表2)。因此,看来并不是氧化膜刚一浸入电解液中,草酸添加剂就立刻可以充分地产生降低膜溶解速度的效应。
3.草酸添加剂虽然降低膜的溶解速度,但对溶解反应的活化能并无影响。在一定浓度的范围内,草酸添加剂对于膜的真实密度和孔率无显著影响(图4、图5和图6)。
根据这些结果,我们认为:
1.草酸添加剂在铝的阳极氧化过程中最本真的效应是降低了电解液对膜的溶解活性,其他的效应都是这一效应的衍生现象,都可以根据这一效应解释。由于电解液的溶解活性降低,无孔膜转变为有孔膜困难,因而所需要的时间延长,孔密度减小(单位面积上的孔数减少),从而膜的比面积减小。在氧化开始阶段,由于草酸使膜的溶解速度减小,水化层在膜的总厚中所占比例比不加草酸时相应条件下的比例大,因而膜的密度相应的比不加草酸时降低。但在氧化时间较长时,在加有草酸的槽中所得膜的总厚度,由于膜的溶解速度较小,要比不加草酸时相应的总厚度大得多,而水化层厚度的发展则是一个衰减的过程,因此在加有草酸的槽液中氧化时间延长后,水化层在膜总厚中所占比例比不加草酸时小,膜的密度略有升高。
2.不仅我们的实验结果表明草酸对膜的溶解反应活化能没有显著的影响,RonyoeB的实验也可以作为旁证。RonyoeB以20%硫酸槽液中制得的膜置于20%硫酸溶液中,以3%草酸槽液中制得的膜置于3%草酸溶液中,在不同温度下测定了它们的溶解速度。我们拿他的数据在LogV-
座标系统中作图,得到图7。从图7估定这两种情况下的活化能都是1.5×104卡/克分子。

因此,草酸添加剂降低槽液对膜的溶解速度唯一可能的原因是,改变了参加溶解反应的H+离子的浓度。这只有当草酸离子富集于膜的表面,形成了一层有效的缓冲电解液层时才有可能。我们的实验表明,这种富集过程不是依靠电场的作用,而是依靠在膜表面的化学吸附作用发生的。因为首先,草酸的效应,正如上述,并不因电场存在与否而有显著的不同;其次,无孔层转变为有孔层的实验表明这一富集过程即使在有电场存在时也是以极有限的速度进行的。
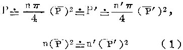
3.根据我们的实验结果,草酸添加剂由于其降低了槽液对膜的溶解活性,引起膜本身的微孔组成发生一定的改变。如分别以P,n,
,A,d表示未添加草酸对膜的孔牵,孔密度,平均孔径,比面积和膜厚,而以P ′,n ′,
,A ′,d ′表示添加草酸后在相同条件下所得膜的相应参数,则根据添加草酸对膜的孔率没有影响的实验事实,有:
根据添加草酸后膜的比表面显著减小的事实,有:
![]()
由于添加草酸后膜的厚度增加较快,因此在相同条件下d≤d',于是有:
从(1)和(2)直接可以得出:
![]()
换言之,在硫酸槽液中添加草酸后将使孔密度减小而使平均孔径增加。直接的证明应该来自高分辨率的电子显微镜观察资料。目前可以作为参考的是,据Keller等利用电子显微镜观察的结果,在24°C的草酸槽液中得到的氧化膜的孔密度比在10°C的硫酸槽液中得到的小,而孔径则较大。
4.按照我们对草酸添加剂作用机构的这种观点,可以推测与草酸相类的有机酸,只要它在硫酸溶液中能保持一定的离子浓度,都可以在不同程度上产生类似的效应。考虑到有机酸在硫酸中所能保持的离子浓度决定于该种酸的电离常数,因此在有机酸作为添加剂的效应与其电离常数之间,应该呈现某种明显的回应关系。我们将在另一项工作中研究这个问题。
结论
研究了硫酸槽液中的草酸添加剂对于溶液对铝上氧化膜的溶解活性、膜的微孔组成、无孔层转变为有孔层所需时间、膜的成长动力学曲线、膜的真实密度和孔率的影响。这些实验表明,草酸的主要效应是降低溶液对膜的溶解活性,其他的效应是这一主效应的衍生效应。这一效应同电场存在与否无关。对这些实验结果的合理解释是:草酸离子吸附在膜的表面,形成了一层H+离子浓度大为降低的缓冲层,从而使膜的溶解速度降低。从实验结果推测,草酸添加剂在一定浓度范围内使膜的孔密度降低而使平均孔径增大。

