二价锡离子稳定剂的研究
二价锡离子稳定剂的研究
洪祥乐,王孝荣
摘要: 详述了二价锡离子稳定剂的筛选方法和过程,将筛选出的最佳抗氧剂Q组成配方用于铝及其台金的氧化着色过程。
0引言
铝及铝合金的阳极氧化着色和电镀锡的生严中都会使用SnSO4作原料,由于二价锡离子Sn2+有极强的还原能力,在空气中易被氧化变成高价锡离子Sn4+,使溶液产生混浊、沉淀,从而影响着色及镀锡的质量,因而寻找二价锡离子的稳定剂,防止着色和镀锡生产中沉淀的产生,成为表面处理工作者十分关心的课题。
本文以多元络合物电镀理论为指导,对铝及其合金阳极氧化着色过程中二价锡离子Sn2+的稳定剂进行研究,取得了满意的结果。
1实验部分
1.1溶液基本组成的确定
电解着色是在通电条件下,金属离子还原为金属原子沉积在基体金属表面的过程,由于不同金属离子还原速度不一样,不同用途的氧化着色层要求也不一样,为了控制金属离子的还原速度,需要在电解液中加入适当的络合剂、添加剂等。由于二价锡离子属于电化学反应超电压小,电极还原速度很快的金属离子,为了使着色层致密和光亮、平滑,必需提高二价锡离子的电极反应超电压,为提高超电压可加入较强的络合剂,并且这种络合剂还应具有抗氧化作用,因此,溶液中除了金属离子外,还应该含有络合稳定剂、抗氧剂、PH调整剂、杂质离子抗干扰添加剂等,所以溶液的基本组成为:
NiSO4、SnSO4、H2SO4、H3BO3、络合剂、抗氧剂等。
1.2抗氧剂的筛选
抗氧剂的筛选分三组进行:
第一组称为A组:它的特点是只加抗氧剂,不加络合剂。溶液的基本组成为:NiSO4-、6H2O:50g/L;SnSO4:10g/L;H2SO4:5g/L;H3BO3:10g/L,再分别加入抗氧剂Q、H、M、N、SP、硫脲等。具体实施分八杯进行,如下表1:

A组试验的目的是想说明在没有络合剂存在时,抗氧剂的稳定效果,试验中所用的药品均为CP级或AR级物品。
第二组称为B组:试验目的是想通过加入络合剂A和B,省去NiSO4·6H2O和H3BO3,看抗氧剂和络合剂同时存在所产生的稳定效果。基本溶液组成是:SnSO4:20g/L;H2SO2:10g/L。实验方案见表2:


第三组称为c组:溶液组成与B组基本相同,只是络合剂A和B的用量有些不同。实施方案见表3:


1.3抗氧化剂试验实施方法
抗氧化试验实施方法有两种:第一是自然存放实验;第二是加速氧化试验。
1.3.1 自然存放试验是在常温、常压条件下,配制溶液A1~A8、B1~B8各250ml和C1~C8各500ml,放于室内并加盖.观察每杯溶液变化情况,记录各杯溶液产生结晶或沉淀、混浊的时间,并分析各杯溶液存放两小时、九天、二十三天、三十五天和五十天后二价锡离子Sn2+的剩余量、损失量、沉淀的产生量。分别列于表4和表5。
表5中SnSO4浓度均采用碘量法测定。









从表4及表5可见,A组8杯溶液中,二价锡离子Sn2+的抗氧性能最差,由于没有辅助络合剂A和B的配合,所以较易产生沉淀;B组8杯溶液虽然加有络合剂A和B的辅助络合作用,但因络合剂A和B的含量太高,也得不到满意的结果;C组的8杯溶液中,由于络合剂A和B的加入量适当,使抗氧化剂和辅助络合剂作用得到充分的发挥,因而二价锡离子的稳定性普遍提高。在C组中,以C2的稳定性最好,C5次之,C1排列第三。A组的结果也类似。这说明含有多巯基的抗氧剂Q和H与含多羟基的辅助络合剂A和B配合,以及含有多羟基的抗氧剂SP和含多巯基的辅助络合剂配合,对二价锡离子有较好的稳定作用。
在上述试验的基础上,为了进一步定量说明上述规律,以C组为对象,进行加速氧化试验。1.3.2加速氧化试验
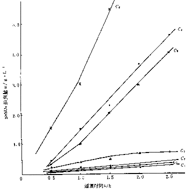
制备浓度为:SnSO4:20g/L,H2SO4:10g/L,络合剂A:5g/L,络合剂B:3g/L七杯各为500g/ml,然后在六杯中各加入抗氧剂Q、H、M、N、SP和硫脲,使其浓度均为0.3g/L,第七杯C8不加抗氧剂,然后分别通入267ml/min的氧气流,每隔半小时测定SnSO4浓度一次,结果见表6及图1。


从表6的数据和图1可见2.5 h SnSO4的损失量C1为0.2664g/L;C2为0.2847g/L;C5为0.3431g/L即抗氧剂Q、H、SP为最佳,这和自然存放的结果是一致的。
在图1中曲线C8只反应了通氧0.5~1.5h的实验结果,目的是便于作图,详细的数据见表6中的C8。


2.二价锡离子的稳定剂Q在铝合金氧化着色中的应用
从上面抗氧化试验的结果表明,抗氧剂Q、H、SP三种的抗氧化作用最佳,其中又以Q为最好,它的性能优越,价格较低,容易购买。所以下面以Q为抗氧剂,进行铝合金的氧化着色试验。
2.1 铝合金的直流阳极氧化
(1)材料工业铝合金型材6063及板材3003。
(2)前处理除油:10%NaOH溶液,60~80°C,处理1min。
出光:H2O:HNO3为体积比1:1,室温下脱膜出光3min。
(3)普通硫酸阳极氧化配方及工艺条件
H2SO4: 200g/L; Al2(SO4)3·18H2O: 25g/L
温度:15~25°C;时间:40min。
电压:10~12v;电流密度:1A/dm2
对极:采用工业铝板或铝型材,阴阳极面积比=1:1~2。
2.2交流电解着色配方及工艺
NiSO4·6H2O: 50g/L;SnSO4: 10g/L;H3BO3: 35g/L;H2SO4: 20g/L;络合剂A: 5g/L;络合剂B:3g/L;抗氧剂Q:0.3g/L;导电盐(NH4)2SO4:15g/L;温度:室温(25~27℃);对极为镍板。
2.3着色膜的封孔处理
采用沸水法,在100℃的蒸馏水中浸20~30min。
2.4试验结果
试验结果见表7。
从表7的数据可知,不同的铝合金其电解着色的电流密度及电压并不相同,接近纯铝的板材3003电流密度为0.70~0.80A/dm2,电压为20.5~22.0V,而铝合金型材6063的电流密度为0.14~0.51A/dm2,电压为10~15V。


![]()
![]()
3003铝合金随电解时间的延长,颜色从灰色-古铜色-茶色-黑色,不断加深。6063铝合金型材在时间保持恒定的条件下,随电流密度的增加,颜色在不断加深。如序号7-9,颜邑从古铜-茶色-黑色不断加深;序号5则因电流密度和电压都较低,虽然时间较长(达7min),但颜色仍较浅,为琥珀色。
3.结论
(1)自然存放及加速氧化试验的结果表明,抗氧化剂Q的稳定作用较强,抗氧化效果较好。
(2)试验的结果还告诉我们,要使抗氧剂Q发挥优良作用,必须有辅助络合剂A和B与之配合,而且辅助络合剂的量不能太多,络合剂A为5g/L,络合剂B为3g/L,抗氧剂为0.3g/L时,效果最佳。
(3)铝合金的电解着色过程中,不同型号的铝材,其电解着色电流密度和电压并不相同。对于同一种铝合金型材,在膜厚一定的条件下,着色的深浅与电解电压、电流密度和电解着色时间有关,采用抗氧剂Q和络合剂A和B适当配合,取得满意效果。

