铝阳极氧化膜无镍常温封孔
张永光
(安徽工业大学化工与环境学院,安徽马鞍山 243002)
摘要: 开发了以氟锆酸钾为主盐的新型无镍常温封孔剂。研究了封孔液中K2ZF6浓度、F-浓度、pH值、封孔时间、封孔温度等对封孔度的影响。实验表明:槽液中添加适当量的F-既可以稳定槽液又可以提高封孔度:该封孔工艺不仅能在氟离子浓度低的情况下实现有效地封孔而且能消除Ni-F封孔出现的粉霜及绿色膜面。
为了提高铝及其合金的耐蚀性,方法之一就是将它置于酸性电解液中阳极氧化生成一定厚度的多孔阳极氧化膜,然后再采用物理或化学方法将膜孔封闭(工业上称为封孔工艺)。阳极氧化膜耐蚀性直接决定于封闭质量。国内外通常使用以Ni2+及F-为基本成分的Ni-F封孔剂,它消耗的镍及氟太多且又伤害人体的健康。作者开发了无氟封孔剂,但仍未解决耗镍多的问题,因此,急需开发无镍或无镍无氟的封孔技术。本文介绍了一种新型无镍低氟封孔剂。
1 实 验
1.1试样制备
选用6063铝合金制作试样。阳极氧化膜的制备方法参考文献。
1.2封孔质量的检查
封孔质量反应了耐蚀能力,本文用磷-铬酸浸蚀后单位面积失重表示(ISO 3210标准)或用浸蚀后的失重率表征。测量失重率的浸蚀液按ISO 3210标准配制:铬酐20g/L,85%磷酸35 ml/L,浸渍温度为38±1℃。失重率η定义为:

式中Wo为试样酸浸蚀前的质量,W1为试样酸浸蚀后的质量。
2实验结果与讨论
2.1 封孔主盐的筛选
对可能与Al2O3膜起反应的物质进行封孔试验。首先将试验物质配制成水溶液,并用NaOH或醋酸调pH至5.0~6.5之间。然后对制膜后的试样封孔处理,封孔后的试样老化12 h,再进行腐蚀试验。结果发现,价格最便宜,封孔效果最好的是氟锆酸及其盐。
为了检查起封孔作用的离子是ZrF62-还是游离的F-,又配制NaF溶液进行对比试验。试验结果如表1。

表1表明,在室温下经氟锆酸钾溶液封孔处理后,试样失重只是去离子水处理或氟化钠溶液处理的样品1/10,可见氟锆酸钾有明显的低温快速封孔作用,单独F-不能有效封孔。
2.2氟锆酸钾浓度对封孔的影响
精确配制不同浓度的氟锆酸钾的封孔槽液,并用氨水或醋酸调整槽液的pH值为5.8,封孔温度为25℃,时间均为10 min。实验结果如图1所示。

从图1可见,氟锆酸钾浓度低于1 g/L时随浓度增加,η~ρ曲线急剧下降;氟锆酸钾浓度大于1 g/L后,随着氟锆酸钾浓度的增加,耻p曲线变化平稳,几乎呈水平线。可见,氟锆酸钾浓度控制在约1.0 g/L为宜。
2.3封孔溶液pH值对封孔的影响
配制1.0 g/L的氟锆酸钾溶液,用醋酸及烧碱溶液调节pH值,然后进行封孔及耐蚀试验。槽液温度均为25℃,封孔10 min,老化12 h,按ISO 3210标准测量失重,试验结果如图2。

由图2可见,随着槽pH值的升高,氧化膜失重数值先下降而后上长,约在5.8左右封孔质量最好。当pH值在5.5~6.1变化时,氧化膜失重数值变化不大。当pH值超过6.3时,失重急剧上升。pH> 7.0的槽液静置后己变浑浊。估计pH高于6.0时氟锆酸钾可能发生水解形成氢氧化物沉淀。
2.4封孔槽液稳定性研究
由2.3讨论可知,使槽液稳定的pH值范围很窄,这将导致工业生产难以操作,必须剖析不稳定原因,并寻求解决方法。
2.4.1槽液不稳定现象的分析 将不同pH值的1.0g/L氟锆酸钾溶液,置于25℃水浴中静置30 min,然后目测溶液的澄清度,测量pH值及氟离子浓度(用氟离子选择电极测量),试验结果见表2。

由表2可知:(1)随着溶液pH值的升高,浑浊程度依次增大,当pH值>6.0时溶液己显浑浊;(2)随着pH的升高,除1号外,静置后溶液的pH值下降,且下降程度依次递增;(3)氟离子浓度随槽液pH值的增高而增高。结合2.3节实验现象可以认为浑浊是由于K2ZrF6水解成氢氧化物沉淀所致。

溶液中的KF及HF会电离成H+及F-。由化学平衡原理可知,提高溶液的pH值平衡向右移动,更利于水解反应。所以pH值高的溶液,浑浊程度会增加,氟离子及氢离子浓度均会增加。
2.4.2 氟离子对稳定性及封孔质量的影响 在1.0g/L氟锆酸钾溶液中分别加不同量的氟化钠,调pH值至6.0,进行稳定性及封孔试验,试验结果如表3。

由表3可知,随着NaF浓度提高,溶液澄清度逐渐提高。当氟化钠用量大于0.1 g/L时,溶液变得澄清。可见提高氟离子浓度,能使槽液趋于稳定。封孔试验表明,适当提高氟离子浓度对封孔有利,但氟离子过高,当ρ(NaF)>2.0 g/L时,会严重影响封孔质量。工业生产中应控制氟离子浓度在0.1 g/L左右。
2.5封孔时间的影响
配制( K2ZrF6)=1.0g/L,ρ(NaF)=0.2 g/L的槽液,调pH=6.0,温度25℃,控制不同的封孔时间,研究封孔时间对氧化膜耐蚀性的影响。实验结果见图3。

图3显示随着封孔时间延长,封孔质量逐渐提高,但时间过长(超过10 min)反而降低封孔质量。说明在生成封孔物质的同时有腐蚀氧化膜的反应。生产中应根据氧化膜的厚度决定最佳的封孔时间。
2.6槽液温度对封孔质量的影响
按2.5节的配方配制封孔槽液,封孔时间固定为10 min,研究不同温度封孔后膜的耐腐蚀性。实验结果如图4所示。

由图4可知,随着槽液温度的提高,氧化膜失重曲线先快速下降而后缓慢上升。当温度低于15℃时,10min内难以实现封孔过程。温度过高,封孔质量也下降。
2.7封孔机理初步分析
以上实验显示:①单独氟锆酸盐溶液可以封孔而单一的氟化钠溶液几乎没有封孔作用;②在氟锆酸盐槽液中再添加氟化钠有促进封孔及稳定槽液作用,但氟化钠浓度高时又降低了氧化膜的耐蚀性;③温度、封孔时间过低或过高均可降低封孔后膜的耐蚀性。以上实验现象可通过可能的化学反应进行解释。
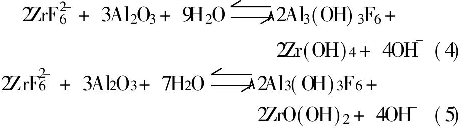
2. 7.1 氟锆酸钾的封孔作用 氟锆酸钾与氧化膜可能发生以下反应:

氧化膜孔内会因为上述反应出现碱性环境,从而扩散进入膜孔的ZrF62-很容易发生水解反应(如式(2)、式(3))。由于F-的存在,ZrF62-还可能生成通式为Zr(x+y)(OH) 4x F4y的氟化合物。ZrF62-在一定温度下扩散至氧化膜孔中与Al2O3发生腐蚀作用,所形成的碱性条件促进了它的水解作用,形成耐蚀的封孔物质Zr(OH)4、Zr(OH)2、Zr(x+y)(OH)4xF4y及Al3(OH)3 F6。
2.7.2氟离子的促进作用 溶液中的氟离子半径小、电负性大,有较强的化学活性,易在荷正电的阳极氧化膜表面吸附并发生如下反应:
![]()
新生产的AIF63-进一步与氧化膜反应:

其中式(7)是一个不可逆反应,反应较慢,而式(6)反应快。单独靠F-生成的AIF63-实现封孔很困难,主要是AIF63-浓度太低,如果要生成大量的AlF63-必须大幅度提高F-浓度,这样一来,式(6)会快速反应,将Al2O3膜腐蚀而且反应产物OH-会进一步腐蚀氧化膜。在溶液中补加AIF63-很困难,因为即使碱金属氟铝酸盐也难以溶于水。如果在氟锆酸溶液中添加少量的NaF,可加速膜孔的溶解反应,更易形成碱性孔,促进膜孔中ZrF62-的水解反应,同时稳定了溶液中的ZrF62-。
总之,封孔反应产物很复杂,有待于进一步研究。从槽液的不稳定性可知,封孔物质主要是扩散到膜孔中的ZrF62-发生水解反应形成的Zr(OH)4及Zr(OH)2。
封孔反应涉及到膜的溶解反应及封孔产物OH-的出现,两者对膜均有腐蚀作用,所以若反应时间过长,反应温度过高,F-浓度过高都会加速膜的溶解。因此应根据现场情况找出最佳的封孔工艺参数。
3 结 论
1)氟锆酸钾可作为无镍封孔剂的主要成份,它起到良好的封孔作用。
2)封孔剂封孔时间及温度应控制,浸泡时间久、温度过高会伤害封孔。
3)适当提高F-浓度既可解决槽液的稳定性又能提高封孔质量。
4)封孔过程包括膜的溶解反应,在生成封孔物质的同时也会产生溶解膜的OH-离子。
5)氟锆酸钾封孔体系不仅具有浓度低(约1.0g/L)、速度快、无粉霜等特点,而且还可消除NiF封孔的绿色表面,其质量可达到ISO 3210标准。
上一篇铝阳极氧化膜绿色封闭工艺
下一篇铝阳极氧化膜无镍常温封孔