三种无铬封闭方法对铝合金阳极氧化膜
耐蚀性的影响
刘建华1,李永星1,于美1,李松梅1,陈高红1,于海洋2
(1.北京航空航天大学材料科学与工程学院空天先进材料与服役教育部重点实验室,
北京 100191;2.中国航天科工集团第六研究院三八九厂,内蒙古呼和浩特010076)
摘要: 研究了沸水封闭、醋酸镍封闭和电压加载下己二酸铵封闭对LY12铝合金阳极氧化膜耐蚀性的影响。通过场发射扫描电镜(FE-SEM)和电化学阻抗谱(EIS)对三种无铬封闭方法处理后铝合金阳极氧化膜的表面微观形貌和耐蚀性进行了研究。结果表明:封闭处理可以有效地闭合阳极氧化膜的微孔,提高氧化膜耐腐蚀性能。电压加载下己二酸铵封闭可以有效缓解氧化膜的腐蚀。三种无铬封闭方法处理后的氧化膜耐腐蚀性能从小到大依次为:沸水封闭,醋酸镍封闭,电压加载下己二酸铵封闭。
铝合金阳极氧化膜的孔隙率高,具有很强的吸附性,容易吸附环境中的化学物质而发生腐蚀。为了增强铝合金阳极氧化膜的耐蚀性,各种封闭方法得到了广泛的发展。其中应用最为广泛的是沸水封闭、重铬酸钾封闭和稀铬酸封闭。但沸水封闭能耗高,耐蚀性较差;重铬酸钾和铬酸中的Cr(VI)被列为对人体危害最大的化学物质之一。因此,因此,开发耐蚀性较高的无铬封闭方法非常必要。
国内外学者在研究铝合金阳极氧化膜封闭方法方面做了大量的研究工作,取得了很好的成果。田连朋等研究了醋酸镍封闭方法对不同铝合金阳极氧化膜在NaCl溶液中电化学行为的影响。研究表明,醋酸镍封闭方法可以降低能耗,提高封孔效率,减轻对环境的破坏。李荻等研究了铈、锂盐对铝阳极氧化膜的协同封闭作用,认为封闭是通过生成结构紧密的封闭产物填充、覆盖膜孔,从而显著提高铝阳极氧化膜的耐蚀性能。Bautista等研究了三乙醇胺溶液对铝合金硫酸阳极氧化膜的封闭作用,认为三乙醇胺在封闭过程中主要起了加速封闭作用。赵景茂等研究了一种采用双向脉冲电源将铝合金阳极氧化膜在硫酸铝溶液中进行封闭的绿色工艺,结果表明其耐蚀性与传统封闭方法效果相当。以上研究中采用的场发射扫描电镜酊(FE-SEM)可以对不同方法封闭的多孔阳极氧化膜进行表面微观形貌研究;电化学阻抗谱(EIS)可以对阳极氧化膜的阻挡层和封闭后的多孔层信息进行表征,可以对氧化膜的在侵蚀性介质中的腐蚀行为进行检测。采用合适的等效电路模型对EIS数据进行拟合,可以获得对应多孔层和阻挡层信息的电化学元件的具体数值,从而可以直观的对氧化膜的腐蚀程度进行比较。
本文研究了沸水封闭、醋酸镍封闭和电压加载下己二酸铵封闭对铝合金阳极氧化膜耐腐蚀性能的影响。通过场发射扫描电镜(FE-SEM)和电化学阻抗谱(EIS)对三种无铬封闭方法处理后铝合金阳极氧化膜的表面微观形貌和耐腐蚀性能进行了研究。
1 实验材料及方法
实验材料为LY12铝合金,尺寸为100 mm×50 mm×2.5 mm,合金成分见表1。

将试样用水磨砂纸打磨至1000号,去离子水超声波清洗10 min;随后采用温度为60℃的NaOH溶液(40g/L)碱洗1 min,室温下硝酸(30mass%)出光1min,每一步处理之后用去离子水冲洗。
将LY12铝合金试片在硫酸电解液(18%)中进行阳极氧化,温度20℃,电流密度1 A/dm2。阳极氧化30 min后,用自来水冲洗1~2 min,再用去离子水冲洗20~30 s,进行封闭处理。封闭方法如下:
沸水封闭:沸腾的去离子水,pH为6.0~7.5,封闭20 min后取出,冷风吹干保存。
醋酸镍封闭:醋酸镍(5g/L),温度95~100℃,pH值5.5~5.8,封闭20 min后取出,冷风吹干保存。
直流电压加载条件下己二酸铵封闭:己二酸铵(50g/L),温度95~100℃,pH值6.0~7.5。设置初始电压20 V,最大电流密度0.2 A/dm2,打开直流电源升压到50 V电压之后,进行恒压封闭20 min,封闭完成后去离子水冲洗,冷风吹干保存。
采用场发射扫描电子显微镜(S-4800 FE-SEM,Hitachi,Japan)对阳极氧化膜封闭前和封闭后的表面微观形貌进行分析。
电化学阻抗谱(EIS)测试采用传统三电极体系在电化学工作站(PARSTAT 2273)上进行,实验介质为氯化钠水溶液(5%),铝合金阳极氧化试片为工作电极,测试面积为1cm2,饱和甘汞电极(SCE)为参比电极,铂电极为辅助电极。测试频率0.01~100 kHz,测试信号为幅值10 mV的正弦波。测试前进行开路电位测试1h达到稳定,进行电化学阻抗谱测试。
2 结果与讨论
2.1 阳极氧化膜微观形貌分析
图1为未封闭及三种无铬方法封闭后LY12铝合金硫酸阳极氧化膜表面FE-SEM照片。图1(a)为LY12铝合金硫酸阳极氧化膜未封闭的表面FE-SEM照片,氧化膜表面疏松多孔,侵蚀性介质容易通过多孔,进而渗透阻挡层,使铝合金基体发腐蚀。图1(b)、1(c)、1(d)分别为沸水封闭、醋酸镍封闭和电压加载下己二酸铵封闭后LY12铝合金阳极氧化膜表面FE-SEM照片。封闭后,氧化膜多孔层微孔闭合。沸水封闭后氧化膜表面生成“花瓣状”结构的晶体;醋酸镍封闭后氧化膜表面生成“网络状”结构;电压加载下己二酸铵封闭后氧化膜表面生成“支状”结构。其中沸水封闭的氧化膜表面较为粗糙、疏松,醋酸镍封闭和电压加载下己二酸铵封闭后氧化膜表面较为平整、致密。

2.2 电化学阻抗谱EIS)研究
图2为沸水封闭、醋酸镍封闭和电压加载下己二酸铵封闭后的LY12铝合金硫酸阳极氧化膜在质量分数为5%的NaCl溶液中,温度为45℃条件下,浸泡1、7、14和28天的电化学阻抗谱图。EIS谱图中出现两个时间常数,高频部分反映阳极氧化膜多孔层的电容和溶液的电阻,低频部分反映阻挡层的电容和电阻,而中频部分则反映了多孔层的电阻。由图2(a)、2(c)、2(e)可以看出随着浸泡时间的延长,沸水封闭和醋酸镍封闭的氧化膜阻抗值逐渐降低,其中浸泡28天时0.01 Hz附近的阻抗值下降显著;图2(b)、2 (d)、2(f)中0.01 Hz附近相位角降低、变窄说明阻挡层发生了腐蚀。而图2(e)中电压加载下己二酸铵封闭后的氧化膜浸泡1天时阻抗值较低,为1.0×105Ω·cm2;浸泡7天后阻抗值升高,超过沸水封闭氧化膜的阻抗值,与醋酸镍封闭后氧化膜的阻抗值相当,达到1.0×106Ω·cm2。浸泡7天到28天之间,低频部分阻抗值没有明显降低,图2(f)中相位角变化不大,说明电压加载下己二酸铵封闭的氧化膜阻挡层没有发生腐蚀。而浸泡1天时,图2(f)中电压加载下己二酸铵封闭的氧化膜相位角谱图不仅高频部分有一个时间常数,在中频部分出现一个新的时间常数,说明浸泡过程中氧化膜多孔层发生了新的反应。这可能由于己二酸铵在潮湿的环境中与水合氧化铝反应,生成(Al-OOC-R)难溶物,对多孔层进行了再次填充,进一步提高氧化膜的封闭效果,因而浸泡7天阻抗值增大,随着浸泡时间的延长,低频部分阻抗值没有明显变化。因此,由图2可以看出三中无铬方法封闭后的氧化膜耐腐蚀性能从小到大依次为:沸水封闭<醋酸镍封闭<电压加载下己二酸铵封闭。




![]()
![]()
![]()
![]()
由于铝合金硫酸阳极氧化膜结构独特,上层是厚而疏松的多孔层,下层是薄而致密的阻挡层。研究表明阳极氧化膜的电化学性能可以通过电阻(R)和电容(C)的串联、并联来描述。图3中的等效电路模型可以对图2中的EIS谱图数据进行有效的拟合。其中,Rc代表溶液电阻;Rp和Qp分别代表封闭后阳极氧化膜多孔层的电阻和电容。Rb和Qb分别代表阻挡层的电阻和电容。拟合得到的多孔层阻抗Rp值和阻挡层阻抗Rb值列于表2。



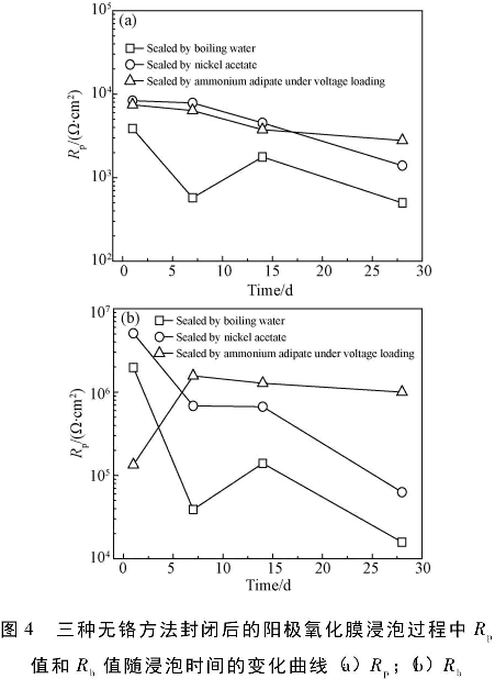
为了直观的比较浸泡过程中三种无铬封闭方法处理后的氧化膜Rp值和Rb值的变化,将表2数据作图于图4。

由图4(a)可以看出,封闭后氧化膜在质量分数为5%的NaCl溶液中,温度45℃条件下,随着浸泡时间延长,Rp值逐渐降低,表明多孔层逐渐发生降解腐蚀。其中沸水封闭后氧化膜的Rp值较低,下降较快,说明沸水封闭效果较差,耐腐蚀性能较低。醋酸镍封闭和电压加载下己二酸铵封闭后氧化膜的Rp值相当,降低较慢,证明两种封闭方法对多孔层的封闭效果相当。图4(b)中沸水封闭和醋酸镍封闭后氧化膜的Rb值随着浸泡时间延长逐渐降低,表明阻挡层发生了降解腐蚀。电压加载下己二酸铵封闭后氧化膜的Rb值浸泡1天时较低,浸泡7天后Rb值升高,浸泡28天没有发生明显降低。说明电压加载下己二酸铵封闭可以使氧化膜具有缓解腐蚀的作用,因而电压加载下己二酸铵封闭的氧化膜耐腐蚀性能优于沸水封闭和醋酸镍封闭的氧化膜。
3 结论
1)沸水封闭、醋酸镍封闭和电压加载下己二酸铵封闭的LY12铝合金阳极氧化膜多孔层微孔闭合,氧化膜表面分别形成“花瓣状”结构、“网络状”结构和“支状”结构的表面。其中沸水封闭的氧化膜表面较为粗糙、疏松,醋酸镍封闭和电压加载下己二酸铵封闭后氧化膜表面较为平整、致密;
2)沸水封闭、醋酸镍封闭和电压加载下己二酸铵封闭后LY12铝合金阳极氧化膜在质量分数为5%的NaCl溶液中,温度位45℃的条件下,随着浸泡时间延长,沸水封闭氧化膜多孔层和阻挡层阻抗值大幅度降低;醋酸镍封闭氧化膜多孔层和阻挡层阻抗值降低较慢;电压加载下己二酸铵封闭的氧化膜浸泡过程中发生了新的反应,对多孔层进行了再次填充,进一步提了高氧化膜的封闭效果,因而浸泡过程中阻挡层没有发生腐蚀,表现出较高的耐腐蚀性能;
3)不同方法封闭后的氧化膜耐腐蚀性能从小到大依次为:沸水封闭、醋酸镍封闭、电压加载下己二酸铵封闭。