多羟基化合物对6063铝合金表面
钛锆转化膜的影响
吴小松1,贾玉玉1,钟辛1,刘娅莉1,蒙文坚2,袁兴2,李蔚虹2
(1.湖南大学化学化工学院,湖南长沙410082;
2.佛山市科富科技有限公司,广东佛山 528200)
摘要: 以6063铝合金为基材,研究了一种基于多羟基化合物的钛锆体系有机-无机复合转化处理体系。考察了该复合膜的膜重、沸水附着力、耐硝酸点滴腐蚀性能及其后续粉末涂料膜层的抗杯突、耐沸水和耐盐水性能,并与单纯钛锆转化膜及传统铬酸盐转化膜进行了比较。在质量分数为3.5%的NaCl溶液中通过极化曲线和电化学阻抗谱(EIS)分析了多羟基化合物的加入对6063铝合金表面钛锆转化膜耐蚀性的影响。采用扫描电镜(SEM)及能谱(EDS)表征了有机-无机复合转化膜的表面形貌及元素组成。结果表明:多羟基化合物的加入使钛锆转化膜由无色变成淡黄色,由疏松有孔的粒状结构变成致密少孔的层状结构,膜重有一定增加,沸水附着力及后续涂层的抗杯突、耐盐水性能更优异,耐腐蚀性能也有显著提高。该复合无铬转化膜层主要由C、O、Mg、Al、Ti、Si和Zr元素组成。
随着人们环境意识的增强,铬酸盐的使用、排放受到严格限制,铝合金的表面无铬转化处理方法受到越来越多关注。近年来铝合金无铬表面处理技术相继出现,如钼酸盐钝化,含钛、锆溶液钝化,含钴溶液钝化,稀土钝化等,其中钛锆处理体系从20世纪80年代开始发展,是目前为数不多的得到工业化应用的工艺之一,俗称陶瓷化处理,如汉高公司的陶化处理剂产品,国内也有相近技术,但是都存在一些问题,如郭瑞光等提出一种处理液含钛盐、硅酸盐和氟化物的无铬转化膜处理方法,但转化温度较高,生成的膜层无色,不利于观察。刘常升等研究了一种含有氟钛酸、氟锆酸和有机磷酸化合物的用于铝合金表面处理的方法,得到的杂化复合膜无色、含磷,容易对环境造成污染。李文芳等人提出了一种含氟钛酸、氟锆酸、锰盐、有机酸的处理液,其缺点在于含有锰盐,处理液颜色深,且处理时间较长,处理液pH范围较窄。
笔者在现有6063铝合金表面钛锆无机转化膜处理体系的研究基础上,通过添加一种自制的多羟基化合物,以期在铝合金表面得到一种绿色环保的有机-无机复合有色转化膜,有望成为铬酸盐转化膜的替代物,满足特定工业应用要求。
1实验
1.1试验方法
1.1.1 样板制备
采用尺寸为50 mm×60 mm×0.5 mm的6063铝合金试片用于转化膜外观检测及腐蚀试验,10 mm×10 mm×0.2 mm尺寸的试片及电极用于扫描电镜观测和电化学测量。电化学测量的试片除工作表面外,其余表面采用环氧树脂封闭。
对比实验的钛锆膜在含氟钛酸、氟钛酸、硝酸、氨水、氟化钠的转化液中制备。铬酸盐膜在含重铬酸钾、硝酸、氨水、氟化钠的转化液中制备。
膜层性能检测的粉末涂料为水性环氧涂料,由新戊二醇、间苯二甲酸-5-磺酸钠(SSIPA)、异佛尔酮二氰酸酯(IPDI)反应,最后加水分散制备而成。
1.1.2 铝型材成膜处理工艺
工艺流程为:酸性脱脂→水洗→去离子水洗→转化液处理→去离子水洗-105℃烘干10 min-备用。
酸性脱脂液是由科富公司提供的RS铝合金酸性脱脂剂,在常温下使用,时间为6~8 min。
有机-无机复合转化液配方见表1,处理温度为30~40℃,pH为3.5~4.5,处理时间5~7 min。

1.1.3 多羟基化合物的制备
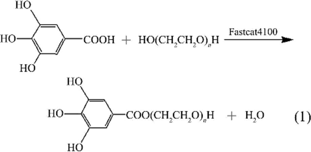
多羟基化合物合成技术路线:多羟基有机酸与有机醇按一定比例在催化剂作用下反应,生成的有机物是一种多羟基化合物,反应过程如式(1)。此有机物与金属基体反应过程中,其所带的大量羟基不仅可以与金属基体配位成键,而且能够与转化液的无机组分中的金属离子反应,在金属表面形成一层致密转化膜。

1.2分析方法
1.2.1 腐蚀试验
采用点滴法,腐蚀溶液的组成为:浓盐酸25 mL,重铬酸钾3 mL,蒸馏水75 mL。观察液滴在转化膜表面由黄变成绿的时间,即为耐蚀时间。
1.2.2 电化学性能测试
采用上海辰华设备公司生产的电化学工作站及其CHI660d配套软件,对铝合金转化膜电极进行电化学测试,分析膜层的耐蚀性能。采用三电极体系,参比电极是饱和甘汞电极(SCE),辅助电极是正对面积约10 cm2的圆柱状铂片,工作液选用3.5%(质量分数)NaCl溶液。极化曲线的扫描速率为0.01 V/s。电化学阻抗谱(EIS)测试的频率范围是10kHz~10mHz,正弦波的振幅为±5 mV,借助Zview软件对EIS结果进行模拟。
1.2.3 微观分析
采用WQF-410型傅里叶变换红外光谱仪,对提纯后的自制有机物进行红外光谱(IR)测定,分析其结构。
采用JSM-6700F环境扫描电子显微镜(SEM)及附带的能谱(EDS)进行转化膜表面形貌及成分分析。
1.2.4 转化膜及其与后续粉末涂料结合的性能测试
转化膜的耐沸水试验测定参考GB/T 5237.5-2000《铝合金建筑型材第5部分:氟碳漆喷涂型材》。
转化膜的盐水浸泡试验采用3.5% NaCl溶液为腐蚀介质。试板浸泡3d后看表面膜层有无脱落以及颜色变化等。
转化膜的膜重测试参照GB/T 9792-1988《金属材料上的转化膜单位面积膜质量的测定重量法》。
转化膜与后续涂料的杯突试验参考GB/T 5237.4-2008《铝合金建筑型材第4部分:粉末喷涂型材》。
转化膜与后续涂料的附着力测定参考GB/T1720-1979《漆膜附着力测定法》。
膜层性能检测的粉末涂料为1.1.1中所提及的自制水性环氧涂料。
2结果与讨论
2.1 自制有机物的红外图谱分析
将经过提纯的有机物进行红外光谱测定,结果如图1所示。

从图1可以看出,3365 cm-1红外特征频率的出现说明有机物中存在羟基,1628 cm-1处出现红外特征频率,说明有机物中含酯键;谱图中并无羧基红外特征频率出现。因此推测合成的有机物是一种含有羟基官能团的酯化物,即多羟基化合物。
2.2多羟基化合物的添加对铝合金表面钛锆转化膜性能的影响
铝合金表面不同转化膜的各种性能测试结果列于表2。从表2可以看出,多羟基化合物的加入使单纯钛锆膜的点滴试验时间提高了55s,甚至比铬酸盐的点滴时间更长。与纯钛锆膜相比,多羟基化合物的加入使膜重增加近一倍,沸水附着力由2级改善为0级,膜层与后续粉末涂料结合后的抗杯突性、耐沸水性和耐盐水性均与铬酸盐转化膜的性能相当。这说明铝合金在多羟基化合物-无机钛锆体系下得到的有机-无机复合转化膜具有优异的耐腐蚀性能。有机物的加入实现了铝合金-钛锆氧化物-多羟基化合物的复合,改变了钛锆转化膜的膜层微观结构,再加上铝表面可能形成的Si氧化物、Al2O3等,使有机-无机复合膜层微观结构更加致密,膜层耐蚀性得到进一步提高。


2.3铝合金表面转化膜的电化学分析
2.3.1 极化曲线分析
铝合金及其在不含有机物的钛锆体系和含有机物的钛锆体系中处理得到的转化膜在3.5% NaCl溶液中的极化曲线如图3所示。

![]()
![]()
表3是从图3得到的电化学参数。可以看出,与空白体系相比较,钛锆与钛锆/有机体系的自腐蚀电流密度要小4个数量级以上,自腐蚀电位也正很多,表明两个体系中形成的转化膜层的耐蚀性显著提高。在钛锆体系中添加多羟基化合物后,转化膜的自腐蚀电位略有提高,且腐蚀电流密度明显下降,表明多羟基化合物的加入使转化膜层的腐蚀倾向进一步降低。

2.3.2 电化学阻抗谱分析
图4是铝合金及其钛锆膜、有机-无机复合膜分别在3.5% NaCI溶液中的电化学阻抗谱图。从图4可以看出,电化学阻抗谱图均由一个半圆容抗弧和一条斜率为45°的直线组成。

![]()
![]()
按图5的等效电路,采用ZSimpWin软件进行模拟,得到铝合金裸电极、钛锆膜和有机-无机复合转化膜在3.5% NaCl溶液中的电阻Rcf分别为113、177和342 kΩ/cm2。多羟基化合物的加入使膜层的阻抗值提高了近一倍,耐蚀性显著提高。

![]()
![]()

2.4铝合金表面转化膜的形貌及成分分析
图6a是铝合金以不含有机物的钛锆体系处理所得转化膜的SEM照片。从中可以看到,转化膜层表面凹凸不平,且沉积的颗粒尺寸不一,有明显的裂痕。图6b是铝合金在含有机物的钛锆体系处理所得转化膜的SEM照片。从中可以看出,其表面呈层状结构,无裂缝存在,膜层更加致密。多羟基化合物的加入,使铝合金上钛锆体系转化膜的形貌由平的带裂纹的颗粒状转变为复杂的致密的片状或是层状结构,转化膜基本无孔隙和裂纹,提高了膜层的耐蚀性及膜层与后续涂层的结合力。


![]()
图7是铝合金上有机-无机复合转化膜的能谱分析结果。可以看出,组成该膜层的主要元素有Al、Mg、Ti、Zr、C和O。由此推测Ti、Zr、多羟基酯化物及铝基材之间可能发生反应而成膜。

3结论
合成了一种多羟基化合物,并研究了它作为有机添加剂对6063铝合金钛锆化学转化处理的影响,得到如下结论:
(1)多羟基化合物加入后,转化膜层的微观结构由疏松有孔的颗粒状变为致密层状结构,膜层由C、O、Mg、Al、Ti、Si和Zr组成。
(2)多羟基化合物的加入,使钛锆膜由无色变为黄色,膜重增加,耐盐水性能以及膜层与后续粉末涂料的沸水附着力、耐沸水性能、抗杯突性都显著提高,且转化液稳定。电化学极化曲线表明,多羟基化合物的加入使转化膜的腐蚀电流密度比钛锆膜提高了一个数量级,阻抗值提高了近一倍。
此无铬转化处理工艺流程简单、成本低,能在常温下操作。所得转化膜呈淡黄色到黄色,便于工人现场识别,利于工业化应用。可替代铝合金表面的铬酸盐转化处理工艺。